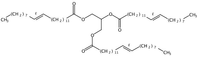
二十二碳烯酸甘油三酯(cis-13),分析标准品,HPLC≥99.0%
产品编号:西域质检-TM11920| CAS NO:37635-44-2
本网站销售的所有产品仅用于工业应用或者科学研究等非医疗目的,不可用于人类或动物的临床诊断或者治疗,非药用,非食用,
二十二碳烯酸甘油三酯(cis-13)
This certificate is designed in accordance with ISO 17034 and ISO Guide 31. This reference material (RM) was designed,produced and verified in accordance with ISO/IEC 17025, ISO 17034 and a registered quality management system ISO 9001.
(白色固体)______
冷冻(-18±5)℃,置于阴凉处
The certified value(s) and uncertainty(ies) are determined in accordance with ISO 17034 with an 95% confidence level(k=2). Uncertainty is based on the Total Combined Uncertainty, including uncertainties of characterisation, homogeneity and stability testing. Stability values are based on real evidence opposed to simulation.
The balances used for gravimetric measurements are calibrated with weights traceable to the national standards. The calibration of the balances is verified annually by an external accredited calibration service. This analysis method has been verified using an approach consistent with ISO 17034:2016 & ISO 17025:2017.
| CERTIFICATE ON | QC SIGNATURE | |
| 2023-Feb-25 |
|
RM Release |
This RM is intended for use in a laboratory as a calibration and quality control standard or in method development for analytical techniques.
This reference material meets the specification stated in this certificate until the expiry date, provided it is stored unopened at the recommended temperature here in. If storage after opening is necessary, the RM should be tightly closed and kept from light and moisture.
Read Material Safety Data Sheet (MSDS) and understand any potential hazard(s) prior to the use of this product. All chemicals should be considered potentially hazardous in nature and should only be handled by qualified personnel using established good laboratory practices.
Random replicate samples of the final packaged RM have been analysed to prove homogeneity compliant with ISO 17034.
It is recommended to use 1 mg as the minimum sample size and if less material is used, to increase the certified uncertainty by a factor of two for half sample and four for a quarter of sample.Visit the support section of our website technology videos and frequently asked questions.
相关文档
化学品安全说明书(MSDS)
下载MSDS质检证书(COA)
相关产品

浙公网安备 33010802013016号