颜料红 53:1,分析标准品,HPLC≥99.8%
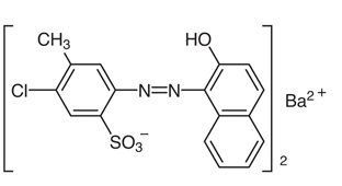
产品编号:西域质检-TM23644| CAS NO:5160-02-1| 分子式:C34H24BaCl2N4O8S2| 分子量:888.939
本网站销售的所有产品仅用于工业应用或者科学研究等非医疗目的,不可用于人类或动物的临床诊断或者治疗,非药用,非食用,
颜料红 53:1
This certificate is designed in accordance with ISO 17034 and ISO Guide 31. This reference material (RM) was designed,produced and verified in accordance with ISO/IEC 17025, ISO 17034 and a registered quality management system ISO 9001.
The certified value(s) and uncertainty(ies) are determined in accordance with ISO 17034 with an 95% confidence level(k=2). Uncertainty is based on the Total Combined Uncertainty, including uncertainties of characterisation, homogeneity and stability testing. Stability values are based on real evidence opposed to simulation.
The balances used for gravimetric measurements are calibrated with weights traceable to the national standards. The calibration of the balances is verified annually by an external accredited calibration service. This analysis method has been verified using an approach consistent with ISO 17034:2016 & ISO 17025:2017.
| CERTIFICATE ON | QC SIGNATURE | |
| 2022-Apr-21 |
|
RM Release |
HPLC/DAD
Water Content by Karl-Fischer Titration: 2.30%
HPLC/DAD
Water Content by Karl-Fischer Titration: 2.30%
This RM is intended for use in a laboratory as a calibration and quality control standard or in method development for analytical techniques.
This reference material meets the specification stated in this certificate until the expiry date, provided it is stored unopened at the recommended temperature here in. If storage after opening is necessary, the RM should be tightly closed and kept from light and moisture.
Read Material Safety Data Sheet (MSDS) and understand any potential hazard(s) prior to the use of this product. All chemicals should be considered potentially hazardous in nature and should only be handled by qualified personnel using established good laboratory practices.
Random replicate samples of the final packaged RM have been analysed to prove homogeneity compliant with ISO 17034.
It is recommended to use 1 mg as the minimum sample size and if less material is used, to increase the certified uncertainty by a factor of two for half sample and four for a quarter of sample.Visit the support section of our website technology videos and frequently asked questions.
相关文档
化学品安全说明书(MSDS)
下载MSDS质检证书(COA)
相关产品
| 风险声明 (欧洲) | R20/21/22 |
|---|---|
| 安全声明 (欧洲) | S22-S36/37/39 |
| RTECS号 | DB5500000 |
|
Lake Red CBA
Revision number: 5
SAFETY DATA SHEET Section1. IDENTIFICATION Product name:Lake Red CBA Revision number:5 Section2. HAZARDS IDENTIFICATION GHS classification PHYSICAL HAZARDSNot classified HEALTH HAZARDS Acute toxicity (Oral)Category 3 Blood, Spleen Specific target organ toxicity - Repeated exposure [Category 2] Not classified ENVIRONMENTAL HAZARDS GHS label elements, including precautionary statements Pictograms or hazard symbols Signal wordDanger Hazard statementsToxic if swallowed May cause damage to organs through prolonged or repeated exposure : Blood Spleen Precautionary statements: Do not breathe dust/fume/gas/mist/vapours/spray. [Prevention] Do not eat, drink or smoke when using this product. Wash hands thoroughly after handling. [Response]IF SWALLOWED: Immediately call a POISON CENTER or doctor/physician. Rinse mouth. Get medical advice/attention if you feel unwell. Store locked up. [Storage] [Disposal]Dispose of contents/container through a waste management company authorized by the local government. Section3. COMPOSITION/INFORMATION ON INGREDIENTS Substance/mixture:Substance Components:Lake Red CBA Percent:.... CAS Number:5160-02-1 1-(4-Chloro-o-sulfo-5-tolylazo)-2-naphthol Barium Salt Synonyms: Chemical Formula:C34H24BaCl2N4O8S2 Lake Red CBA Section4. FIRST AID MEASURES Inhalation:Remove victim to fresh air and keep at rest in a position comfortable for breathing. Get medical advice/attention if you feel unwell. Skin contact:Remove/Take off immediately all contaminated clothing. Gently wash with plenty of soap and water. If skin irritation or rash occurs: Get medical advice/attention. Eye contact:Rinse cautiously with water for several minutes. Remove contact lenses, if present and easy to do. Continue rinsing. If eye irritation persists: Get medical advice/attention. Ingestion:Immediately call a POISON CENTER or doctor/physician. Rinse mouth. A rescuer should wear personal protective equipment, such as rubber gloves and air- Protection of first-aiders: tight goggles. Section5. FIRE-FIGHTING MEASURES Suitable extinguishingDry chemical, foam, water spray, carbon dioxide. media: Specific hazards arising Take care as it may decompose upon combustion or in high temperatures to from the chemical:generate poisonous fume. Precautions for firefighters: Fire-extinguishing work is done from the windward and the suitable fire-extinguishing method according to the surrounding situation is used. Uninvolved persons should evacuate to a safe place. In case of fire in the surroundings: Remove movable containers if safe to do so. Special protectiveWhen extinguishing fire, be sure to wear personal protective equipment. equipment for firefighters: Section6. ACCIDENTAL RELEASE MEASURES Personal precautions,Use extra personal protective equipment (P3 filter respirator for toxic particles). Keep protective equipment and people away from and upwind of spill/leak. Entry to non-involved personnel should emergency procedures: be controlled around the leakage area by roping off, etc. Environmental precautions: Prevent product from entering drains. Methods and materials for Sweep dust to collect it into an airtight container, taking care not to disperse it. containment and cleaning Adhered or collected material should be promptly disposed of, in accordance with up: appropriate laws and regulations. Section7. HANDLING AND STORAGE Precautions for safe handling Technical measures:Handling is performed in a well ventilated place. Wear suitable protective equipment. Prevent dispersion of dust. Wash hands and face thoroughly after handling. Use a closed system if possible. Use a local exhaust if dust or aerosol will be generated. Advice on safe handling: Avoid contact with skin, eyes and clothing. Conditions for safe storage, including any incompatibilities Storage conditions:Keep container tightly closed. Store in a cool and dark place. Store locked up. Store away from incompatible materials such as oxidizing agents. Comply with laws. Packaging material: Section8. EXPOSURE CONTROLS / PERSONAL PROTECTION Engineering controls:Install a closed system or local exhaust. Also install safety shower and eye bath. Personal protective equipment Respiratory protection: Dust respirator, self-contained breathing apparatus(SCBA), supplied air respirator, etc. Use respirators approved under appropriate government standards and follow local and national regulations. Impervious gloves. Hand protection: Eye protection:Safety goggles. A face-shield, if the situation requires. Skin and body protection: Impervious protective clothing. Protective boots, if the situation requires. Lake Red CBA Section9. PHYSICAL AND CHEMICAL PROPERTIES Physical state (20°C):Solid Form:Crystal- Powder Yellow red - Red Colour: Odour:No data available pH: No data available Melting point/freezing point:No data available No data available Boiling point/range: Flash point:No data available Flammability or explosive limits: No data available Lower: Upper:No data available No data available Relative density: Solubility(ies): Slightly soluble [Water] [Other solvents] Ethanol Slightly soluble: Insoluble:Benzene, Acetone -0.49 Log Pow: Section10. STABILITY AND REACTIVITY Chemical stability:Stable under proper conditions. Possibility of hazardous No special reactivity has been reported. reactions: Incompatible materials: Oxidizing agents Hazardous decomposition Carbon monoxide, Carbon dioxide, Nitrogen oxides (NOx), Sulfur oxides, Hydrogen products:chloride Section11. TOXICOLOGICAL INFORMATION No data available Acute Toxicity: Skin corrosion/irritation: No data available No data available Serious eye damage/irritation: Germ cell mutagenicity: mmo-sat 1 mg/plate (+S9) Carcinogenicity: Group 3 (Not classifiable as carcinogenic to humans) IARC = NTP =No data available No data available Reproductive toxicity: RTECS Number:DB5500000 Section12. ECOLOGICAL INFORMATION Ecotoxicity: Fish:No data available Crustacea:No data available Algae:No data available Persistence / degradability: 0% (by BOD) Bioaccumulative0.9 - 1.8 (conc. 0.7 mg/L), 8.5 - 15 (conc. 0.07 mg/L) potential(BCF): Mobility in soil Log Pow:-0.49 Soil adsorption (Koc):No data available Henry's LawNo data available constant(PaM3/mol): Lake Red CBA Section13. DISPOSAL CONSIDERATIONS Recycle to process, if possible. Consult your local regional authorities. You may be able to dissolve or mix material with a combustible solvent and burn in a chemical incinerator equipped with an afterburner and scrubber system. Observe all federal, state and local regulations when disposing of the substance. Section14. TRANSPORT INFORMATION Hazards Class:6.1: Toxic substance. UN-No:1564 Proper shipping name:Barium compound, n.o.s. III Packing group: Section15. REGULATORY INFORMATION Safe management ordinance of dangerous chemical product (State Council announces on January 26, 2002 and revised on February 16,2011): Safe use and production, the storage of a dangerous chemical, transport, loading and unloading were prescribed. SECTION 16 - ADDITIONAL INFORMATION N/A |

浙公网安备 33010802013016号