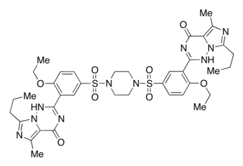
伐地那非二聚体/保质期6个月,标准溶液,溶剂:甲醇, 100μg/mL
产品编号:西域质检-TM16843| CAS NO:1255919-03-9
本网站销售的所有产品仅用于工业应用或者科学研究等非医疗目的,不可用于人类或动物的临床诊断或者治疗,非药用,非食用,
伐地那非二聚体/保质期6个月
This certificate is designed in accordance with ISO 17034 and ISO Guide 31. This reference material (RM) was designed,produced and verified in accordance with ISO/IEC 17025, ISO 17034 and a registered quality management system ISO 9001.
冷冻(-18±5)℃,置于阴凉处
| QC Test Results | ||||
| Item | Test Results | |||
| Analysis method(分析方法) | HPLC/DAD | |||
| Concentration(浓度) | 100μg/mL | |||
| Relative Expanded Uncertainty(k=2)(相对扩展不确定度) | 3% | |||
| Expiry Date(失效日期) | 2023-Jul-04 | |||
The certified value(s) and uncertainty(ies) are determined in accordance with ISO 17034 with an 95% confidence level (k=2). Uncertainty is based on the Total Combined Uncertainty, including uncertainties of preparation, purity of neat materials, homogeneity, stability testing.
The balances used for gravimetric measurements are calibrated with weights traceable to the national standards. The calibration of the balances is verified annually by an external accredited calibration service. This analysis method has been verified using an approach consistent with ISO 17034:2016 & ISO 17025:2017.
| CERTIFICATE ON | QC SIGNATURE | |
| 2023-Jan-05 |
|
RM Release |
相关文档
化学品安全说明书(MSDS)
下载MSDS质检证书(COA)
相关产品

浙公网安备 33010802013016号