Chaetocin 毛壳素,99.95%
产品编号:Bellancom-N2019| CAS NO:28097-03-2| 分子式:C30H28N6O6S4| 分子量:696.84
Chaetocin是组蛋白甲基转移酶(HMT) SU(VAR)3-9的特异性抑制剂,IC50值为0.6 μM。Chaetocin也可抑制硫氧还蛋白还原酶(TrxR),IC50值为4 μM。Chaetocin,一类来自毛壳菌属的天然产物,是组蛋白甲基转移酶(HMT) SU(VAR)3-9的特异性抑制剂,IC50值为0.6 μM。其对dSU(VAR)3-9,小鼠G9a和粗糙链孢霉 DIM5的IC50分别为0.8 μM, 2.5 μM和3 μM。
本网站销售的所有产品仅用于工业应用或者科学研究等非医疗目的,不可用于人类或动物的临床诊断或者治疗,非药用,非食用,
Chaetocin 毛壳素
| 产品介绍 | Chaetocin是组蛋白甲基转移酶(HMT) SU(VAR)3-9的特异性抑制剂,IC50值为0.6 μM。Chaetocin也可抑制硫氧还蛋白还原酶(TrxR),IC50值为4 μM。 | ||||||||||||||||
|---|---|---|---|---|---|---|---|---|---|---|---|---|---|---|---|---|---|
| 生物活性 | Chaetocin is a specific inhibitor of the histone methyltransferase (HMT) SU(VAR)3-9 with an IC50 of 0.6 μM for SU(VAR)3-9. It also inhibits thioredoxin reductase (TrxR) with an IC50 of 4 μM. | ||||||||||||||||
| 体外研究 |
Chaetocin is initially isolated from the fermentation broth of chaetomium minutum and belongs to the class of 3-6 epidithio-diketopiperazines (ETPs). The IC50 for SU(VAR)3-9 is 0.6 μM and acts as a competitive inhibitor for S-adenosylmethionine. Chaetocin inhibits the human ortholog of dSU(VAR)3-9 with a similar IC50 value of 0.8 μM. It inhibits other known Lys9-specific HMTs such as mouse G9a and Neurospora crassa DIM5 with a higher IC50 values of 2.5 and 3 mM, respectively. Chaetocin inhibits TrxR1-initiated turnover of the synthetic substrate DTNB in a cell-free assay in a dose-responsive manner with an IC50 of about 4 μM. 西域 has not independently confirmed the accuracy of these methods. They are for reference only. | ||||||||||||||||
| 体内研究 |
SL-2 Drosophila tissue cells are cultured in the presence or absence of the inhibitor. Chaetocin has a toxic effect on cells grown in culture. Toxicity is highly dependent on the initial cell density when chaetocin is added to the culture. The number of H3 molecules dimethylated at Lys9 (H3K9me2) is markedly reduced when cells are grown in medium containing 0.5 μM chaetocin after 5 d. Histones isolated from cells treated with 0.1 μM and for a shorter time also shows a drop in Lys9 methylation, but not as strongly as with the higher concentration. 西域 has not independently confirmed the accuracy of these methods. They are for reference only. | ||||||||||||||||
| 体内研究 |
SL-2 Drosophila tissue cells are cultured in the presence or absence of the inhibitor. Chaetocin has a toxic effect on cells grown in culture. Toxicity is highly dependent on the initial cell density when chaetocin is added to the culture. The number of H3 molecules dimethylated at Lys9 (H3K9me2) is markedly reduced when cells are grown in medium containing 0.5 μM chaetocin after 5 d. Histones isolated from cells treated with 0.1 μM and for a shorter time also shows a drop in Lys9 methylation, but not as strongly as with the higher concentration. 西域 has not independently confirmed the accuracy of these methods. They are for reference only. | ||||||||||||||||
| 性状 | Solid | ||||||||||||||||
| 溶解性数据 |
In Vitro:
DMSO : ≥ 26 mg/mL (37.31 mM) * "≥" means soluble, but saturation unknown. 配制储备液
*
请根据产品在不同溶剂中的溶解度选择合适的溶剂配制储备液;一旦配成溶液,请分装保存,避免反复冻融造成的产品失效。 In Vivo:
请根据您的实验动物和给药方式选择适当的溶解方案。以下溶解方案都请先按照 In Vitro 方式配制澄清的储备液,再依次添加助溶剂:
——为保证实验结果的可靠性,澄清的储备液可以根据储存条件,适当保存;体内实验的工作液,建议您现用现配,当天使用;
以下溶剂前显示的百
| ||||||||||||||||
| 运输条件 | Room temperature in continental US; may vary elsewhere. | ||||||||||||||||
| 储存方式 |
| ||||||||||||||||
| 参考文献 |
| ||||||||||||||||
| 符号 |
GHS07 |
|---|---|
| 信号词 | Warning |
| 危害声明 | H302 + H312 + H332 |
| 警示性声明 | P280 |
| 个人防护装备 | dust mask type N95 (US);Eyeshields;Gloves |
| 危害码 (欧洲) | Xn |
| 风险声明 (欧洲) | 20/21/22 |
| 危险品运输编码 | UN 1544 |
| RTECS号 | FM3032000 |
| 包装等级 | III |
| 危险类别 | 6.1(b) |
| 产品名: | Chaetocin |
| CAS号: | 28097-03-2 |
| 制造商/供应商: | 西域试剂 网站:www.hzbp.cn 邮件:13911702513@139.com |
2. 合成/成分数据
| 产品名: | Chaetocin |
| 分子式: | C30H28N6O6S4 |
| 分子量: | 696.84 |
3. 急救措施
| 吸入后: | 如果吸入,移至空气新鲜处,如果呼吸困难,给输氧,如呼吸停止,给予人工呼吸。 |
| 皮肤接触后: | 用大量的水冲洗,移除污染的衣服和鞋子。 |
| 眼睛接触后: | 检查并取下隐形眼镜,并用大量的水冲洗;呼叫医生。 |
| 吞食后: | 如果吞食,用大量纯净水漱口;呼叫医生。 |
4. 消防措施
| 适当的灭火剂: | 雾状水,二氧化碳,干粉或泡沫。 |
| 防护设备: | 穿戴自给式呼吸器和防护服,以防止与皮肤和眼睛接触。 |
5. 泄漏应急处理
| 安全防范措施: | 封锁泄漏区域;穿戴自给式呼吸器,防护服和厚橡胶手套。 |
| 清洁/收集措施: | 使用液体粘合原料(硅藻土,通用粘合剂)吸取精细粉末; 使用酒精擦洗表面和设备除去污渍; 根据第11条处理被污染的材料。 |
6. 处理和储存
| 安全处理说明: | 避免吸入和接触皮肤,眼睛及衣物;材料可能略微具有刺激性。 |
| 储存: |
粉末型式 -20°C 3年;4°C 2年 溶于溶剂 -80°C 6个月;-20°C 1个月 |
7. 接触控制和个人防护
| 呼吸设备: | NIOSH / MSHA认可的呼吸器。 |
| 双手保护: | 耐化学腐蚀的橡胶手套。 |
| 眼睛防护: | 化学安全护目镜。 |
8. 稳定性和反应活性
| 稳定性: | 按照说明存储是稳定的;避免强氧化剂。 |
| 热分解/其他要避免的情况: | 避免光和热。 |
9. 毒性资料
| 急性毒性: | 无可用资料。 |
| 主要刺激性影响: | 无可用资料。 |
| 在皮肤上: | 无可用资料。 |
| 对眼睛: | 无可用资料;可能具有刺激性。 |
10. 生态资料
| 一般注意事项: | 无可用资料。 |
11. 废弃处置
| 按照所在国家,省份,县市和地方的法规处置。 |
12. 运输信息
| 正确的运输名称: | 无 |
| 非危险品运输: | 这种物质被视为非危险品运输。 |
13. 法规信息
| 尚未有针对此产品作出的化学安全性评估。 |
14. 其他信息
| 这种化学品仅供受过训练的,有经验的研究人员在穿戴适当装备和授权允许的情况下进行操作处理。以上信息基于我们目前的知识被认为是正确的,但只适用于作为有经验人员的指导。请咨询您自己的安全顾问,并遵守当地和国家的安全法规。在任何其他没有被警告的情况下,并不意味着绝对没有危险存在。西域生物技术不承担任何使用这种化学品所造成的损害和责任。2023 西域生物技术版权所有。 |
|
~89%
28097-03-2 |
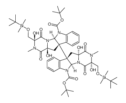
| 文献:Kim, Justin; Movassaghi, Mohammad Journal of the American Chemical Society, 2010 , vol. 132, # 41 p. 14376 - 14378 |
|
~43%
28097-03-2 |
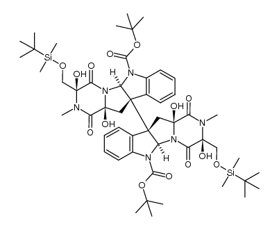
| 文献:Iwasa, Eriko; Hamashima, Yoshitaka; Fujishiro, Shinya; Eisuke, Higuchi; Ito, Akihiro; Yoshida, Minoru; Sodeoka, Mikiko Journal of the American Chemical Society, 2010 , vol. 132, # 12 p. 4078 - 4079 |
|
~6%
28097-03-2 |
| 文献:Iwasa, Eriko; Hamashima, Yoshitaka; Fujishiro, Shinya; Eisuke, Higuchi; Ito, Akihiro; Yoshida, Minoru; Sodeoka, Mikiko Journal of the American Chemical Society, 2010 , vol. 132, # 12 p. 4078 - 4079 |
| 上游产品 2 | |
|---|---|
| 下游产品 0 | |
有竞争力的价格匹配竞争对手的价格
极速物流效率为先
技术支持专业经验 贴心服务
现货库存50000+库存
浙公网安备 33010802013016号