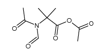
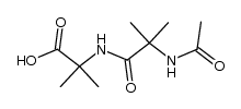
N-乙酰基-2-甲基丙氨酸, 98%,2-Acetamido-2-methylpropanoic acid
产品编号:西域试剂-WR140092| CAS NO:5362-00-5| MDL NO:MFCD13559639| 分子式:C6H11NO3| 分子量:145.16
本网站销售的所有产品仅用于工业应用或者科学研究等非医疗目的,不可用于人类或动物的临床诊断或者治疗,非药用,非食用,
| 英文名称 | 2-Acetamido-2-methylpropanoic acid |
|---|---|
| CAS编号 | 5362-00-5 |
| 产品沸点 | 357.4ºC at 760 mmHg |
| 产品密度 | 1.132g/cm3 |
| 产品闪点 | 169.9ºC |
| 精确质量 | 145.07400 |
| PSA | 66.40000 |
| LogP | 0.37660 |
| 折射率 | 1.458 |
相关文档
化学品安全说明书(MSDS)
下载MSDS质检证书(COA)
相关产品
| 海关编码 | 2924199090 |
|---|
|
~63%
5362-00-5 |
| 文献:Leibfritz, Dieter; Haupt, Erhard; Dubischar, Norbert; Lachmann, Heinrich; Oekonomopulos, Raymond; Jung, Guenther Tetrahedron, 1982 , vol. 38, # 14 p. 2165 - 2182 |
|
~39%
5362-00-5 |
| 文献:Schweitzer-Stenner, Reinhard; Gonzales, Widalys; Bourne, Gregory T.; Feng, Jianwen A.; Marshall, Garland R. Journal of the American Chemical Society, 2007 , vol. 129, # 43 p. 13095 - 13109 |
|
~%
5362-00-5 |
| 文献:Hellsing Chemische Berichte, 1904 , vol. 37, p. 1921 |
|
~%
5362-00-5 |
| 文献:Leplawy,M.T. et al. Tetrahedron, 1960 , vol. 11, p. 39 - 51 |
|
~%
5362-00-5 |
| 文献:Kornprobst,J.-M. et al. Bulletin de la Societe Chimique de France, 1970 , p. 1490 - 1497 |
|
~%
5362-00-5 |
| 文献:Steiger Helvetica Chimica Acta, 1934 , vol. 17, p. 579 Full Text Show Details Levene; Steiger Journal of Biological Chemistry, 1931 , vol. 93, p. 581,601 |
| 上游产品 9 | |
|---|---|
| 下游产品 0 | |

浙公网安备 33010802013016号