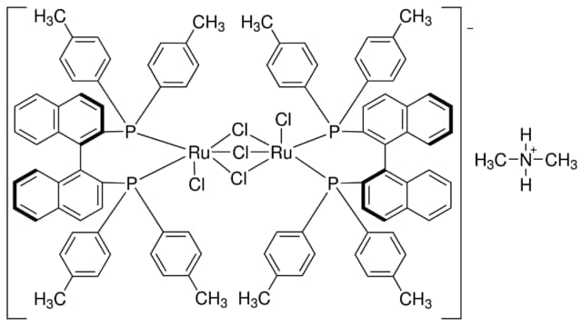
[NH2Me2][(RuCl((R)-tolbinap))2(μ-Cl)3], ≥98%,[NH2Me2][(RuCl((R)-tolbinap))2(μ-Cl)3]
产品编号:西域试剂-WR141115| CAS NO:749935-02-2| MDL NO:MFCD09753034| 分子式:C98H88Cl5NP4Ru2| 分子量:17837
本网站销售的所有产品仅用于工业应用或者科学研究等非医疗目的,不可用于人类或动物的临床诊断或者治疗,非药用,非食用,
| 英文名称 | [NH2Me2][(RuCl((R)-tolbinap))2(μ-Cl)3] |
|---|---|
| CAS编号 | 749935-02-2 |
| 精确质量 | 1786.24116 |
| 外观性状 | 固体;Light yellow to Amber to Dark green powder to crystal |
| 稳定性 | 遵照规定使用和储存则不会分解。 |
| 储存条件 | 密封于阴凉干燥环境中 |
相关文档
化学品安全说明书(MSDS)
下载MSDS质检证书(COA)
相关产品
| 危险品运输编码 | NONH for all modes of transport |
|---|

浙公网安备 33010802013016号