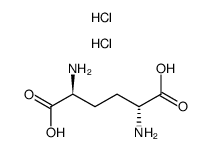
(5R,2S)-2,5-二氨基乙二酸二盐酸盐, 98%,(2R,5S)-2,5-Diaminohexanedioic acid dihydrochloride
产品编号:西域试剂-WR152137| CAS NO:213686-09-0| MDL NO:MFCD09836085| 分子式:C6H14Cl2N2O4| 分子量:249.0924
本网站销售的所有产品仅用于工业应用或者科学研究等非医疗目的,不可用于人类或动物的临床诊断或者治疗,非药用,非食用,
| 英文名称 | (2R,5S)-2,5-Diaminohexanedioic acid dihydrochloride |
|---|---|
| CAS编号 | 213686-09-0 |
| 精确质量 | 248.03300 |
| PSA | 126.64000 |
| LogP | 1.59500 |
相关文档
化学品安全说明书(MSDS)
下载MSDS质检证书(COA)
相关产品

浙公网安备 33010802013016号