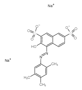
丽春红3R, 强度:100%,Ponceau 3R
产品编号:西域试剂-WR173298| CAS NO:3564-09-8| MDL NO:MFCD00036432| 分子式:C19H16N2Na2O7S2| 分子量:494.45
本网站销售的所有产品仅用于工业应用或者科学研究等非医疗目的,不可用于人类或动物的临床诊断或者治疗,非药用,非食用,
| 英文名称 | Ponceau 3R |
|---|---|
| CAS编号 | 3564-09-8 |
| 精确质量 | 494.01900 |
| PSA | 176.11000 |
| LogP | 5.85580 |
| 稳定性 | 常温常压下稳定 |
| 储存条件 | 避光,通风干燥处,密封保存 |
相关文档
化学品安全说明书(MSDS)
下载MSDS质检证书(COA)
相关产品
| 符号 |
GHS07, GHS08 |
|---|---|
| 信号词 | Warning |
| 危害声明 | H302-H315-H319-H335-H351 |
| 警示性声明 | P261-P281-P305 + P351 + P338 |
| 个人防护装备 | dust mask type N95 (US);Eyeshields;Gloves |
| 危害码 (欧洲) | Xn |
| 风险声明 (欧洲) | R20/21/22 |
| 安全声明 (欧洲) | S22-S36/37/39 |
| 危险品运输编码 | NONH for all modes of transport |
| RTECS号 | QJ6650000 |
|
Section 1. Chemical Product and Company Identification Ponceau 3RCatalog PO144 Common Name/ Number(s). Trade Name CAS#3564-09-8
Manufacturer RTECSQJ6650000 SPECTRUM CHEMICAL MFG. CORP. TSCATSCA 8(b) inventory: No products were found. Commercial Name(s)Cumidine Red CI# 16155 Synonym3-Hydroxy-4-[(2,4,5-trimethylphenyl)azo]-2,7-naphthalenedisulfonic IN CASE OF EMERGENCY acid disodium salt Chemical NameNot available. Not available.CALL (310) 516-8000 Chemical Family Chemical FormulaC19H10N2Na2O7S2 SPECTRUM CHEMICAL MFG. CORP. Section 2.Composition and Information on Ingredients Exposure Limits TWA (mg/m3)STEL (mg/m3) CEIL (mg/m3) NameCAS #% by Weight 1) Ponceau 3R3564-09-8100 Toxicological DataPonceau 3R on IngredientsLD50: Not available. LC50: Not available. Section 3. Hazards Identification Potential Acute Health Effects Very hazardous in case of ingestion, of inhalation. Hazardous in case of skin contact (irritant, permeator), of eye contact (irritant). Potential Chronic HealthVery hazardous in case of ingestion, of inhalation. EffectsHazardous in case of skin contact (irritant, permeator), of eye contact (irritant). CARCINOGENIC EFFECTS: Classified 2B (Possible for human.) by IARC. MUTAGENIC EFFECTS: Not available. TERATOGENIC EFFECTS: Not available. DEVELOPMENTAL TOXICITY: Not available. Ponceau 3R Section 4. First Aid Measures Eye ContactCheck for and remove any contact lenses. Do not use an eye ointment. Seek medical attention. Skin ContactAfter contact with skin, wash immediately with plenty of water. Gently and thoroughly wash the contaminated skin with running water and non-abrasive soap. Be particularly careful to clean folds, crevices, creases and groin. Cover the irritated skin with an emollient. If irritation persists, seek medical attention. Serious Skin ContactWash with a disinfectant soap and cover the contaminated skin with an anti-bacterial cream. Seek medical attention. InhalationAllow the victim to rest in a well ventilated area. Seek immediate medical attention. Serious InhalationNot available. IngestionDo not induce vomiting. Loosen tight clothing such as a collar, tie, belt or waistband. If the victim is not breathing, perform mouth-to-mouth resuscitation. Seek immediate medical attention. Serious Ingestion Not available. Section 5. Fire and Explosion Data Flammability of the Product Non-flammable. Auto-Ignition Temperature Not applicable. Not applicable. Flash Points Not applicable. Flammable Limits Products of CombustionThese products are carbon oxides (CO, CO2), nitrogen oxides (NO, NO2...), sulfur oxides (SO2, SO3...). Some metallic oxides. Not available. Fire Hazards in Presence of Various Substances Explosion Hazards in Presence Risks of explosion of the product in presence of mechanical impact: Not available. of Various SubstancesRisks of explosion of the product in presence of static discharge: Not available. Fire Fighting MediaSMALL FIRE: Use DRY chemical powder. and InstructionsLARGE FIRE: Use water spray, fog or foam. Do not use water jet. Special Remarks onNot available. Fire Hazards Special Remarks on Explosion Not available. Hazards Section 6. Accidental Release Measures Small SpillUse appropriate tools to put the spilled solid in a convenient waste disposal container. Finish cleaning by spreading water on the contaminated surface and dispose of according to local and regional authority requirements. Large SpillFinish cleaning by spreading water on the contaminated surface and allow to evacuate through the sanitary system. Ponceau 3R Section 7. Handling and Storage PrecautionsKeep locked up Do not breathe gas/fumes/ vapour/spray. Wear suitable protective clothing In case of insufficient ventilation, wear suitable respiratory equipment If you feel unwell, seek medical attention and show the label when possible. Keep container tightly closed and in a well-ventilated place. Avoid contact with skin and eyes StorageCarcinogenic, teratogenic or mutagenic materials should be stored in a separate locked safety storage cabinet or room. Section 8. Exposure Controls/Personal Protection Engineering ControlsNo special ventilation requirements. Personal ProtectionSplash goggles. Lab coat. Vapor respirator. Be sure to use an approved/certified respirator or equivalent. Gloves. Personal Protection in Case of Splash goggles. Full suit. Vapor respirator. Boots. Gloves. A self contained breathing apparatus should be a Large Spillused to avoid inhalation of the product. Suggested protective clothing might not be sufficient; consult a specialist BEFORE handling this product. Exposure LimitsNot available. Section 9. Physical and Chemical Properties Physical state and appearance Not available.OdorNot available. TasteNot available. Molecular Weight494.46 g/mole Not available. Color Not available. pH (1% soln/water) Boiling PointNot available. Decomposes. Melting Point Critical TemperatureNot available. Specific GravityNot available. Vapor PressureNot available. Vapor DensityNot available. VolatilityNot available. Odor ThresholdNot available. Not available. Water/Oil Dist. Coeff. Ionicity (in Water)Not available. Dispersion PropertiesNot available. SolubilityNot available. Section 10. Stability and Reactivity Data StabilityThe product is stable. Not available. Instability Temperature Conditions of InstabilityNot available. Incompatibility with variousNot available. substances CorrosivityNon-corrosive in presence of glass. Ponceau 3R Not available. Special Remarks on Reactivity Special Remarks onNot available. Corrosivity PolymerizationNo. Section 11. Toxicological Information Routes of EntryDermal contact. Eye contact. Inhalation. Ingestion. Toxicity to AnimalsLD50: Not available. LC50: Not available. Chronic Effects on Humans CARCINOGENIC EFFECTS: Classified 2B (Possible for human.) by IARC. Other Toxic Effects on Very hazardous in case of ingestion, of inhalation. HumansHazardous in case of skin contact (irritant, permeator). Special Remarks on Not available. Toxicity to Animals Special Remarks onNot available. Chronic Effects on Humans Special Remarks on otherNot available. Toxic Effects on Humans Section 12. Ecological Information EcotoxicityNot available. Not available. BOD5 and COD Possibly hazardous short term degradation products are not likely. However, long term degradation products may Products of Biodegradation arise. Toxicity of the ProductsThe products of degradation are more toxic. of Biodegradation Special Remarks on theNot available. Products of Biodegradation Section 13. Disposal Considerations Waste Disposal Section 14. Transport Information DOT ClassificationNot a DOT controlled material (United States). IdentificationNot applicable. Not applicable. Special Provisions for Transport DOT (Pictograms) Ponceau 3R Section 15. Other Regulatory Information and Pictograms California prop. 65: This product contains the following ingredients for which the State of California has found to Federal and State cause cancer, birth defects or other reproductive harm, which would require a warning under the statute: Ponceau Regulations 3R California prop. 65: This product contains the following ingredients for which the State of California has found to cause cancer which would require a warning under the statute: Ponceau 3R Pennsylvania RTK: Ponceau 3R Massachusetts RTK: Ponceau 3R CaliforniaCalifornia prop. 65: This product contains the following ingredients for which the State of California has found to cause cancer which would require a warning under the statute: Ponceau 3R Proposition 65 Warnings California prop. 65: This product contains the following ingredients for which the State of California has found to cause birth defects which would require a warning under the statute: No products were found. Other RegulationsNot available.. WHMIS (Canada) CLASS D-2A: Material causing other toxic effects (VERY TOXIC). Other Classifications DSCL (EEC)R36/38- Irritating to eyes and skin. R40- Possible risks of irreversible effects. Health Hazard HMIS (U.S.A.)2 National Fire Protection 0 Flammability 0 Association (U.S.A.) Fire Hazard 2 0 Reactivity Health Reactivity 0 Specific hazard Personal Protection h WHMIS (Canada) (Pictograms) DSCL (Europe) (Pictograms) TDG (Canada) (Pictograms) ADR (Europe) (Pictograms) Protective Equipment Gloves. Lab coat. Ponceau 3R Vapor respirator. Be sure to use an approved/certified respirator or equivalent. Wear appropriate respirator when ventilation is inadequate. SECTION 16 - ADDITIONAL INFORMATION N/A |

浙公网安备 33010802013016号