甘油磷酸酯, 35%,Glycerophosphoric acid
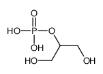
产品编号:西域试剂-WR174382| CAS NO:57-03-4| 分子式:C3H9O6P| 分子量:172.07
(Rac)-sn甘油3-磷酸是一种a位底物类似物。(Rac)-sn甘油3-磷酸结合到a位,吲哚和亲核吲哚类似物与E(a-a)的反应速率受到强烈抑制。
本网站销售的所有产品仅用于工业应用或者科学研究等非医疗目的,不可用于人类或动物的临床诊断或者治疗,非药用,非食用,
| 英文名称 | Glycerophosphoric acid |
|---|---|
| CAS编号 | 57-03-4 |
| 产品描述 | (Rac)-sn甘油3-磷酸是一种a位底物类似物。(Rac)-sn甘油3-磷酸结合到a位,吲哚和亲核吲哚类似物与E(a-a)的反应速率受到强烈抑制。 |
| 产品沸点 | 485.5ºC at 760 mmHg |
| 产品密度 | 1.738 g/cm3 |
| 产品闪点 | 247.4ºC |
| 精确质量 | 172.01400 |
| PSA | 117.03000 |
| 靶点 |
Human Endogenous Metabolite |
| 储存条件 | -20-0°C |
相关文档
化学品安全说明书(MSDS)
下载MSDS质检证书(COA)
相关产品
| 海关编码 | 2919900090 |
|---|
| 上游产品 9 | |
|---|---|
| 下游产品 10 | |









![[1-[(E)-octadec-9-enoyl]oxy-3-phosphonooxypropan-2-yl] (E)-octadec-9-enoate结构式](/20230522/14268-17-8.png)



![[S,(+)]-1-O-Phosphono-L-glycerol结构式](/20230522/5746-57-6.png)



浙公网安备 33010802013016号