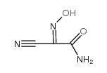
2-氨基-2-氰基乙酰胺, 98%,2-Amino-2-cyanoacetamide
产品编号:西域试剂-WR193567| CAS NO:6719-21-7| MDL NO:MFCD00040532| 分子式:C3H5N3O| 分子量:99.09
本网站销售的所有产品仅用于工业应用或者科学研究等非医疗目的,不可用于人类或动物的临床诊断或者治疗,非药用,非食用,
| 英文名称 | 2-Amino-2-cyanoacetamide |
|---|---|
| CAS编号 | 6719-21-7 |
| 产品熔点 | 120-124 °C |
| 产品沸点 | 338.5±37.0 °C at 760 mmHg |
| 产品密度 | 1.3±0.1 g/cm3 |
| 产品闪点 | 158.5±26.5 °C |
| 精确质量 | 99.043259 |
| PSA | 92.90000 |
| LogP | -1.65 |
| 外观性状 | 米色粉末 |
| 蒸气压 | 0.0±0.7 mmHg at 25°C |
| 折射率 | 1.513 |
| 溶解性 | 可溶 |
| 稳定性 | 避免与不相容材料,热源接触。 与强氧化剂反应。 |
| 储存条件 | 密封储存,储存于阴凉、干燥的库房。远离腐蚀区。 |
相关文档
化学品安全说明书(MSDS)
下载MSDS质检证书(COA)
相关产品
| 危害码 (欧洲) | T: Toxic; |
|---|---|
| 风险声明 (欧洲) | R23;R34 |
| 安全声明 (欧洲) | 45-36/37/39-26 |
| WGK德国 | 2 |
| RTECS号 | RM3201500 |
| 海关编码 | 2926909090 |
|
~55%
6719-21-7 |
| 文献:IND-SWIFT LABORATORIES LIMITED; BHIRUD, Shekhar Bhaskar; SARIN, Gurdeep Singh; GUPTA, Neeraj; TIWARI, Parveen Kumar; CHIDAMBARAM, Venkateswaran Srinivasan; WADHWA, Lalit Patent: WO2010/140168 A1, 2010 ; Location in patent: Page/Page column 14 ; |
|
~%
6719-21-7 |
| 文献:US5003099 A1, ; |
|
~%
6719-21-7 |
| 文献:US5003099 A1, ; |
|
~13%
6719-21-7 |
| 文献:Pfizer Inc Patent: US5734053 A1, 1998 ; US 5734053 A |
|
~%
6719-21-7 |
| 文献:Journal of the American Chemical Society, , vol. 74, p. 2892 |
| 上游产品 7 | |
|---|---|
| 下游产品 10 | |











浙公网安备 33010802013016号