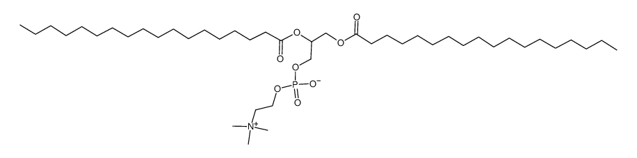
1,2-二硬脂酰-外消旋-甘油-3-磷酰胆碱 ,dl-A-phosphatidylcholine ,99%
产品编号:Bellancom-B214627| CAS NO:816-93-3| 分子式:C44H89NO8P| 分子量:791.1526
本网站销售的所有产品仅用于工业应用或者科学研究等非医疗目的,不可用于人类或动物的临床诊断或者治疗,非药用,非食用,
| 产品名称 | 1,2-二硬脂酰-外消旋-甘油-3-磷酰胆碱 |
|---|---|
| 英文名称 | dl-A-phosphatidylcholine |
| CAS编号 | 816-93-3 |
| 精确质量 | 789.62500 |
| PSA | 121.00000 |
| LogP | 13.24240 |
相关文档
化学品安全说明书(MSDS)
下载MSDS质检证书(COA)
相关产品
| 个人防护装备 | Eyeshields;Gloves;type N95 (US);type P1 (EN143) respirator filter |
|---|---|
| 危险品运输编码 | NONH for all modes of transport |

浙公网安备 33010802013016号