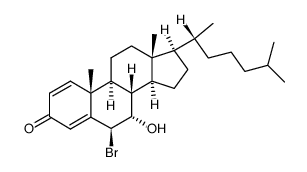
7α-羟基-4-胆固醇-3-酮 ,(7alpha)-7-hydroxycholest-4-en-3-one ,>99.9%

产品编号:Bellancom-B246493| CAS NO:3862-25-7| 分子式:C27H44O2| 分子量:400.6371

7α-Hydroxy-4-cholesten-3-one 是一种由胆固醇合成胆汁酸的中间体。7α-Hydroxy-4-cholesten-3-one 是一种孕烷 X 受体 (PXR) 激动剂。7α-Hydroxy-4-cholesten-3-one 是胆汁酸流失,肠易激综合征和其他与胆汁酸生物合成缺陷有关的疾病的生物标志物。7α-Hydroxy-cholest-4-en-3-one 也是一种 CYP8B1 的生理底物。

本网站销售的所有产品仅用于工业应用或者科学研究等非医疗目的,不可用于人类或动物的临床诊断或者治疗,非药用,非食用,

货号 包装 价格 库存与货期 购买量 操作
Bellancom-B246493
7684.00 杭州 北京(现货)

增值税发票√顺丰快递√订货电话:18601927057

产品名称 7α-羟基-4-胆固醇-3-酮
英文名称(7alpha)-7-hydroxycholest-4-en-3-one
CAS编号3862-25-7
产品描述7α-Hydroxy-4-cholesten-3-one 是一种由胆固醇合成胆汁酸的中间体。7α-Hydroxy-4-cholesten-3-one 是一种孕烷 X 受体 (PXR) 激动剂。7α-Hydroxy-4-cholesten-3-one 是胆汁酸流失,肠易激综合征和其他与胆汁酸生物合成缺陷有关的疾病的生物标志物。7α-Hydroxy-cholest-4-en-3-one 也是一种 CYP8B1 的生理底物。
产品熔点182-184ºC
产品沸点516.7ºC at 760 mmHg
产品密度1.03g/cm3
产品闪点218.5ºC
精确质量400.33400
PSA37.30000
LogP6.56770
外观性状白色固体
折射率1.53
靶点

Endogenous Metabolite Pregnane X receptor (PXR)

体外研究

7α-羟基-4-胆固醇-3-酮在胆汁酸(如鹅去氧胆酸)的生物合成途径中相对上游。第一步用细胞色素P450 7A1将7α-羟基并入胆固醇,第二步用3β-羟基类固醇脱氢酶将3-羟基和Δ5,6-双键氧化异构化,得到7α-羟基-4-胆固醇-3-酮。在胆汁酸途径下游发现的表达P450 27A1的基因缺失导致前体7α-羟基-4-胆固醇-3-酮的积累。

体内研究

7α-羟基-4-胆甾-3-酮与CYP7A1在稳态条件下以及在大鼠发生的快速昼夜变化期间的肝酶活性密切相关。血清7α-羟基-4-胆固醇-3-酮具有明显的昼夜节律。

动物实验

*下述溶液配置方法仅为基于分子量计算出的理论值。不同产品在配置溶液前,需考虑其在不同溶剂中的溶解度限制。

Concentration / Solvent Volume / Mass 1 mg 5 mg 10 mg
1 mM 2.496 mL 12.48 mL 24.9601 mL
5 mM 0.4992 mL 2.496 mL 4.992 mL
10 mM 0.2496 mL 1.248 mL 2.496 mL
不同实验动物依据体表面积的等效剂量转换表(参考来源于公开文献
小鼠 大鼠 豚鼠 仓鼠
重量 (kg) 0.02 0.15 1.8 0.4 0.08 10
体表面积 (m2) 0.007 0.025 0.15 0.05 0.02 0.5
Km 系数 3 6 12 8 5 20
动物 A (mg/kg) = 动物 B (mg/kg) ×  动物 B的Km系数
动物 A的Km系数

例如,依据体表面积折算法,将化合物用于小鼠的剂量20 mg/kg 换算成大鼠的剂量,需要将20 mg/kg 乘以小鼠的Km系数(3),再除以大鼠的Km系数(6),得到化合物用于大鼠的等效剂量为10 mg/kg。

相关文档

化学品安全说明书(MSDS)

下载MSDS

质检证书(COA)

相关产品


1. 物质的识别
产品名: 7α-Hydroxy-4-cholesten-3-one 
CAS号: 3862-25-7
制造商/供应商: 西域试剂
网站:www.hzbp.cn   邮件:13911702513@139.com
2. 合成/成分数据
产品名: 7α-Hydroxy-4-cholesten-3-one 
分子式: C27H44O2
分子量: 400.64
3. 急救措施
吸入后: 如果吸入,移至空气新鲜处,如果呼吸困难,给输氧,如呼吸停止,给予人工呼吸。
皮肤接触后: 用大量的水冲洗,移除污染的衣服和鞋子。
眼睛接触后: 检查并取下隐形眼镜,并用大量的水冲洗;呼叫医生。
吞食后: 如果吞食,用大量纯净水漱口;呼叫医生。
4. 消防措施
适当的灭火剂: 雾状水,二氧化碳,干粉或泡沫。
防护设备: 穿戴自给式呼吸器和防护服,以防止与皮肤和眼睛接触。
5. 泄漏应急处理
安全防范措施: 封锁泄漏区域;穿戴自给式呼吸器,防护服和厚橡胶手套。
清洁/收集措施: 使用液体粘合原料(硅藻土,通用粘合剂)吸取精细粉末;
使用酒精擦洗表面和设备除去污渍;
根据第11条处理被污染的材料。
6. 处理和储存
安全处理说明: 避免吸入和接触皮肤,眼睛及衣物;材料可能略微具有刺激性。
储存: 粉末型式       -20°C   3年;4°C   2年
溶于溶剂       -80°C   6个月;-20°C   1个月
7. 接触控制和个人防护
呼吸设备: NIOSH / MSHA认可的呼吸器。
双手保护: 耐化学腐蚀的橡胶手套。
眼睛防护: 化学安全护目镜。
8. 稳定性和反应活性
稳定性: 按照说明存储是稳定的;避免强氧化剂。
热分解/其他要避免的情况: 避免光和热。
9. 毒性资料
急性毒性: 无可用资料。
主要刺激性影响: 无可用资料。
在皮肤上: 无可用资料。
对眼睛: 无可用资料;可能具有刺激性。
10. 生态资料
一般注意事项: 无可用资料。
11. 废弃处置
按照所在国家,省份,县市和地方的法规处置。
12. 运输信息
正确的运输名称:
非危险品运输: 这种物质被视为非危险品运输。
13. 法规信息
尚未有针对此产品作出的化学安全性评估。
14. 其他信息
这种化学品仅供受过训练的,有经验的研究人员在穿戴适当装备和授权允许的情况下进行操作处理。以上信息基于我们目前的知识被认为是正确的,但只适用于作为有经验人员的指导。请咨询您自己的安全顾问,并遵守当地和国家的安全法规。在任何其他没有被警告的情况下,并不意味着绝对没有危险存在。西域生物技术不承担任何使用这种化学品所造成的损害和责任。2023 西域生物技术版权所有。





服务热线

13911702513
18601927057

微信客服