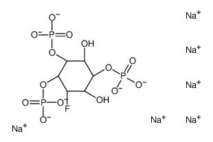
3-脱氧-3-氟-D-肌醇1,4,5-三磷酸。六钠盐 ,3-Deoxy-3-fluoro-D-myo-inositol 1,4,5-trisphosphate . hexasodium salt ,≥98%
产品编号:Bellancom-B53171| CAS NO:129365-68-0| 分子式:C6H8FNa6O14P3| 分子量:553.97800
本网站销售的所有产品仅用于工业应用或者科学研究等非医疗目的,不可用于人类或动物的临床诊断或者治疗,非药用,非食用,
| 英文名称 | 3-Deoxy-3-fluoro-D-myo-inositol 1,4,5-trisphosphate . hexasodium salt |
|---|---|
| CAS编号 | 129365-68-0 |
| 精确质量 | 553.85000 |
| PSA | 287.15000 |
| LogP | 0.12280 |
| 稳定性 | 遵照规定使用和储存则不会分解。 |
| 储存条件 | 密闭于-20 ºC阴凉干燥环境中 |
相关文档
化学品安全说明书(MSDS)
下载MSDS质检证书(COA)
相关产品

浙公网安备 33010802013016号